變壓器在地庫充電樁容量指標如何設計?
伴隨著經濟發展,環保、低碳理念的不斷提升,我國逐步推廣新能源汽車。國家發改委公布的數據顯示,2015年我國新能源汽車累計產量達37.9萬輛,其中純電動汽車29.07萬輛、混合動力車8.82萬輛。到2020年,中國新能源汽車的年銷量將達到市場總需求的5%以上,2025年達到20%左右。
引文作者:上海蓋能電氣市場部(專注幹式變壓器30年)電話:189 1886 3098(微信同號)
由於新能源汽車的普及,電動汽車充電樁的需求進一步增加。分析表明,目前電動車推廣難的主要原因是充電樁數量少、充電速度慢、目標單一等。
為了幫助新能源汽車推廣,我國正逐步增加對充電樁的配置。2015年10月國務院指導意見指出,在大型公共建築配建停車場或為充電設施預留建設和安裝條件的車位比例不低於10%。
但(dan)國(guo)內(nei)現(xian)行(xing)配(pei)電(dian)設(she)計(ji)規(gui)範(fan)中(zhong),對(dui)車(che)庫(ku)容(rong)量(liang)的(de)設(she)計(ji)指(zhi)標(biao)並(bing)未(wei)提(ti)及(ji)充(chong)電(dian)樁(zhuang)對(dui)車(che)庫(ku)配(pei)電(dian)指(zhi)標(biao)的(de)影(ying)響(xiang)。對(dui)新(xin)建(jian)建(jian)築(zhu)來(lai)說(shuo),車(che)庫(ku)充(chong)電(dian)樁(zhuang)的(de)配(pei)置(zhi)和(he)帶(dai)充(chong)電(dian)樁(zhuang)的(de)車(che)庫(ku)配(pei)電(dian)容(rong)量(liang)設(she)計(ji)仍(reng)然(ran)很(hen)模(mo)糊(hu)。
該文通過對現有車庫供電特點、車輛充電設施使用情況、充電樁配置類型和用電特點的調查研究,結合我國現行充電樁設計方法,提出了新建築設計中車庫充電樁配電容量的指導思想。
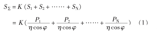
目前國內目前的充電樁設計方法和充電樁的具體應用:
當前,我國新建商業建築地下車庫在配建充電樁時變壓器容量設計,充電負荷的計算主要參照南方電網充電樁設計規範中的計算方法:

公式中:
P1…PN—各充電樁輸出功率,kW;
S∑=-充電機總輸入容量,kW;
cosφ——電機充電功率因數,取0.9;
η-電機充氣效率,取0.9;
K-充電機同時工作係數,取0.8。
調查研究目前已投入使用的公用充電樁有以下幾種,如下圖所示:
汽車修理廠變壓器容量設計的現狀與問題:
汽車修理廠變壓器容量設計時,一般采用單元指標法進行設計。標準中給出了各類建築物單位建築麵積用電指標,非機械式汽車庫房用電指標為8~15W/m2,變壓器容量指標為12~34VA/m2。
目前規範對車庫是否安裝充電樁、充電樁比例等問題未作詳細說明,在設計中未考慮是否設置充電樁時,車庫的配電通常也按最大值34VA/m2計算。工程圖紙設計階段,常規車庫變壓器容量設計采用需要係數法,充電樁的配電容量按(1)公式計算。
計算公式(1)每台充電機輸出功率因設計者缺乏實際測試數據而采用充電樁的額定輸出功率計算,表2中數據表明,實際充電功率為充電樁的額定輸出功率的58%~99.5%,表中隻有不到一半的充電效率在80%以上,保守估計根據公式(1)計算結果偏大10%左右。
計算公式(1)中相同工作係數為0.8,對安裝充電樁少(如20台以下)的變壓器容量影響較小,充電樁的變壓器容量越大,在充電樁大於100台時,用於充電樁供電的變壓器富餘量預計可達10%~30%。
決定同步工作係數的主要因素:
a.由於汽車電池充電的特性,當電池充電0~80%時進行恒流充電,而保護電池則由80%~100%的保護電池改為恒壓充電。同一段時間,不同車輛起步階段不同,充電比例不同,充電樁同時工作係數也不同。
b.就商業建築而言,日常充電樁主要為上下班及購物人群提供服務。有研究表明,用於上下班和社交/休閑的平均往返距離為30km,交流慢充約為1.5h,直流快充約為0.5h。
對dui上shang班ban族zu來lai說shuo,占zhan用yong充chong電dian樁zhuang的de時shi間jian等deng於yu工gong作zuo時shi長chang,對dui於yu購gou物wu人ren群qun來lai說shuo,占zhan用yong充chong電dian樁zhuang時shi間jian等deng於yu購gou物wu時shi間jian。規gui定ding了le充chong電dian時shi間jian,當dang完wan成cheng充chong電dian後hou車che主zhu未wei達da到dao工gong作zuo時shi間jian/購物時間,將不會離開車位。這時充電樁同時工作係數有所降低。
電動車充電樁對車庫變壓器容量設計的影響:
充電樁的數量影響:
在調查所有大型商業地產集團的設計指引中發現,單個車位的平攤麵積均在25~45m2之間。下表所示平均停車麵積:25~45m2,充電樁安裝率:10%~30%時,同一種類型、不同充電樁數對車庫變壓器容量設計指標的影響如下。單機停車麵積指標A、裝樁率a對充電樁負荷設計指標的影響見下圖:

同一裝樁率下,隨著單車位均攤麵積的增大,變壓器的裝置指標下降。當單車位均攤麵積為45m2/個時,充電樁變壓器裝置裝置指標為單車位均攤麵積25m2時的55.6%;在相同單車位均攤麵積下,充電樁上的變壓器裝置指標上升10%。充電樁安裝率為30%,變壓器充電樁的裝置指標是充電樁安裝率10%時的3倍。
充電樁類型影響:
yinweidiandongchedaduoshiyonglidianchi,kuaisuchongdiandianliujiaoda,rongyiyingxianglidianchideshouming,shenzhiyinfabaozha,suoyiguoneidiandongchezaichongdianshichangjiayuchongdianzhuangtongxunxieyiduoxianzhichongdiandianliu。
從現有的充電技術來看,即使充電樁配置電壓、電流增大,實際充電也達不到充電樁的額定功率。
當充電樁安裝比例為10%,充電樁安裝數量為100,單個車位的平攤麵積為40m2/m2時,根據公式(2)~(4)不同充電樁組合對充電樁變壓器各參數的影響,如下圖所示:

調查結果表明,在151個充電樁組合形式中,約有35%的充電樁組合形式的充電樁設備指標為10~20VA/m2,其中,充電樁組合形式使充電樁變壓器裝置指標達到20~30VA/m2,約有74%的不同充電樁類型組合,使得充電樁變壓器裝置指標達到30~30VA/m2,約有74%的不同充電樁類型組合,使充電樁變壓器裝置指標達到30~30VA/m2。
在大型快速充電樁安裝率超過73%時,變壓器充電樁指標超過40VA/m2,此時對充電樁的投資較大。
未設充電樁時,停車電耗容量設計優化指標建議值為1.8~10.5W/m2,約2.3~13.4VA/m2;設置充電樁時,應在上述停車場電耗容量設計優化指標推薦值的基礎上增加0~60VA/m2,具體增加充電樁的配電容量指標應根據充電樁型號配比進行計算。
商shang業ye建jian築zhu的de使shi用yong性xing能neng和he投tou資zi經jing濟ji性xing能neng應ying綜zong合he考kao慮lv不bu同tong充chong電dian樁zhuang組zu合he配pei置zhi。對dui商shang業ye區qu而er言yan,商shang場chang停ting車che位wei較jiao多duo,應ying適shi當dang增zeng加jia配pei置zhi大da型xing快kuai速su充chong電dian樁zhuang以yi滿man足zu民min眾zhong的de快kuai充chong需xu求qiu;辦公車位較多時,應適當增加中、小型低速充電樁配置。
盡管在住家停車位、工作地停車位、公共停車場和酒店停車場的充電樁大多采用中低速充電,充電總需求約占80%,快速充電占20%左右。
但(dan)由(you)於(yu)我(wo)國(guo)目(mu)前(qian)已(yi)建(jian)住(zhu)宅(zhai)充(chong)電(dian)的(de)限(xian)製(zhi),很(hen)多(duo)小(xiao)區(qu)不(bu)能(neng)滿(man)足(zu)電(dian)動(dong)車(che)充(chong)電(dian)需(xu)求(qiu),所(suo)以(yi)商(shang)業(ye)建(jian)築(zhu)應(ying)綜(zong)合(he)考(kao)慮(lv)經(jing)濟(ji)性(xing)和(he)使(shi)用(yong)性(xing),合(he)理(li)配(pei)置(zhi)大(da)型(xing)快(kuai)充(chong)樁(zhuang)的(de)比(bi)例(li)。